本文主要简单介绍一下主流的深度生成模型。
一、分类
生成模型的主要目的就是求解数据的联合概率分布p(x)。也许有人会疑惑,为什么不直接求p(x)就好了,怎么还会有如此多的深度学习模型呢?其实直接求解p(x)是一个NP问题,它过于复杂,以至于以目前的技术是无法在有限时间内求解的。所以我们只能退而求其次找寻其近似解。
各式各样的机器学习模型就是在不同的方面以不同的方法来妥协,所以不同的模型就会各有优势,有的精度高,有的速度快等。
我们可以将主流的深度生成模型分为五类:
自回归生成模型(ARM)
基于流的模型
潜变量模型
基于能量的模型
基于分数的模型
图1:深度生成模型分类图
如图1所示,其中比较有名的GANs模型和VAEs模型,均属于Latent variable models而图中未列举的Score-based models属于新技术,最近火热的DALL2就是基于此生成技术。
二、模型介绍
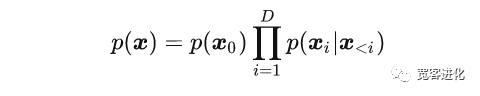
接下来我们将简单介绍一下各模型的主要思想和大致思路。自回归模型
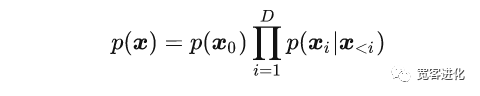
ARM 将分布以自回归的方式表示,即它将数据中每一个像素点都认为是一个独立的随机变量,并将其排列,以下图公式来求解p(x):

其中 x<i 表示所有 i 索引之前的 x
基于流的模型
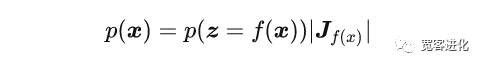
Flow-Based Models 是通过构建一种可逆的网络,来实现从一种分布转换到另一种分布且可逆。目的是通过多种变换,构建一个从已知分布到目标分布p(x)的通路来求解p(x)。

表示雅可比矩阵我们可以用神经网络来参数化 f(x),但是不能是任意的神经网络,因为我们必须保证雅可比矩阵是好算的,同时网络是可逆的,所以神经网络必须要经过设计。
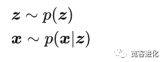
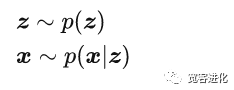
潜变量模型
Latent variable models(潜变量模型)的思想 是假设一个低维的隐空间。并使用如图的生成过程

换句话说,潜在变量对应于数据中的隐藏因子,条件分布p(x|z)可以被视为生成器。VAE就是通过encoder求解出隐空间的均值和方差,然后使用重参数化技巧构建隐空间。再利用其生成数据。GAN则是通过判别器和生成器之间的对抗过程来间接的构建隐空间。
基于能量的模型
Energy based models(能量模型)来源于物理学。是构建一个能量函数E(x)直接建模p(x)。

其中
配分函数
换句话说,该分布由指数能量函数定义,该函数进一步归一化以获得0到1之间的值(即概率)。如果我们考虑物理,还有更多的内容,但我们不需要深入研究。EBMs背后的主要思想是基于能量函数并计算(或更接近)配分函数。
以上内容就是本期对主流生成模型的简单介绍,后续我们会分别做详细分析。
三、模型对比
我们用一些标准来对模型进行了简单的比较
图2:生成模型对比
专栏下期预告:Autoregressive Models(ARM)
推荐阅读:
什么是合成数据
什么是生成对抗网络(GANs)
吴恩达:未来十年,人工智能将转向以数据为中心
Gartner 专家访谈:合成数据是人工智能的未来吗?
合成数据应用——如何预警俄乌冲突和新冠疫情对金融汇率的影响
生成式人工智能合成隐私数据(上)
生成式人工智能合成隐私数据(下)
J.P.Morgan正在使用“合成数据”解锁洞察
合成数据应用——基本面未来时序推演(十年国资、GDP、CPI、M2)物价飞涨是不是越来越严重了?人工智能帮你瞧瞧未来走势!
如何使用合成数据实现测试覆盖度最大化
让人工智能来告诉你《权力的游戏》原著中龙妈长啥样
北京宽客进化科技有限公司
——用数据智慧加速人工智能