点击蓝字
关注我们


MLP,全称为Multilayer Perceptron,译为多层感知机。其是一种强大的神经网络,具有多层隐藏层。它通过反向传播算法进行训练,不断调整权重以最小化输出误差。MLP在许多领域都有广泛应用,如图像识别、语音识别和自然语言处理等。由于其出色的性能和易用性,MLP已成为机器学习领域的重要工具。本期内容,源动随风为您带来MLP的相关知识。


01
神经元与感知机
神经元
一个神经元就是一个神经细胞,它是神经系统的基本组成单位。根据目前的认识,一个典型的神经元由以下几部分组成:(1)细胞体(cell body),是神经细胞的主体,内有细胞核和细胞质,除实现细胞生存的各种基本功能外,这里是神经细胞进行信息加工的主要场所;(2)树突(dendrites),是细胞体外围的大量微小分支,是细胞的"触角",一个神经元的树突可达103数量级,多数长度很短,主要担负从外界接收信息的功能;(3)轴突(axon),是细胞的输出装置,负责把信号传递给另外的神经细胞;(4)突触(synapse),是一个神经元的轴突与另一个神经元的轴突之间相连接的部位。

图1 典型神经元构成示意图
感知机
基于生物神经元模型可得到感知机的基本结构,即输入、权重、求和、激活函数以及最后的输出。图2展示了一个上述内容。需要指出的是,图2中的Weights(权重)需要通过感知机学习算法来进行确定,该算法在后文中会提到。

图2 感知机基本结构
那么对于最后的输出值,可以由以下公式来确定:

感知机学习算法

图3 感知机学习算法
从图3可以看到,在感知机学习算法中,首先定义迭代次数为T0,x和y的取值范围为{-1,1},输出为θ,即感知机基本结构中的权重参数。在具体算法中,需要特别强调的是,更新参数时应遵循平行四边形法则。
感知机学习算法的证明

图4 感知机学习算法证明基本理论

图5 感知机学习算法证明
图5中的M代表更新次数,可以看出,更新次数同样本条数无关。
感知机能够表达的函数
利用感知机,人们可以表达一些简单的函数,例如布尔函数(Bool Function)。

(a)

(b)

(c)
图6 (a)用感知机表示与函数 (b)用感知机表示或函数
(c)用感知机表示非函数
但是,感知机无法表示复杂的布尔函数(如亦或逻辑函数),这就使得多层感知机,即是MLP出现在了人们的视野之中。


02
多层感知机表达逻辑关系
MLP简介

图7 简单的多层感知机
从图7的多层感知机我们可以发现,其包含输入层(Input)、隐藏层(Hidden Layer)以及输出层(Output)。同时,需要指出的是,该网络结构包含两层,初学者易将其误认为三层。并且,第一层包含d1个神经元,第二次包含2个神经元。
用MLP表示复杂逻辑函数

图8 用MLP表示亦或逻辑函数
使用MLP表示亦或逻辑函数(XOR),可使用图8中左边的网络来表达,其对应的逻辑表达式为红框所示。

图9 使用MLP表示更复杂的逻辑函数
第一层的4个感知机表达了黄框中对应布尔表达式小括号中的逻辑关系,第二层表达了稍大括号中的逻辑关系,第三层则表达了最后的与逻辑关系(&)。可以证明,任意一个布尔表达式都可以由一个多层感知机表达。此即,感知机的通用逼近定理。
用MLP表达实函数

图10 使用感知机表达实函数
一个拥有实数输入以及实数权重的感知机可以表达一个超平面。

图11 使用MLP表示一个五边形
使用五个感知机,组成多层感知机,可表示一个五边形。

图12 使用MLP表示组合图形
在图11的基础上,最后两个五边形使用或(OR)逻辑关系,即可得到组合图形。


03
MLP初识
MLP基本网络展示

图13 MLP基本网络结构
可以看到,图13包含了两个部分,一个是网络结构,另一个是损失函数(Loss Function)。下面分别进行讲解。
首先来看这个网络结构,该网络结构由有3层神经元组成,同前文相同,深度学习中的层数是指每经过一次变化就多一层。在整个过程中,进行m次采样,输入参数为x,输出参数为y。L1为输入层,L2和L3组成了隐藏层,L4为输出层。最终得到的y1、y2以及y3代表隶属于某一类的概率。
对于损失函数(Loss Fuction),J中包含两部分,fθ(x(i))代表感知机输出的预测值,y(i)代表真实标签,每一项二者作差,在m个样本上加起来再取平均就得到了最后的J(θ)。
激活函数(Activation Functions)

图14 sigmoid函数图像
人们最初将sigmoid函数作为MLP训练时的激活函数,但是后来发现其存在梯度消失现象,即当x较小和较大时图像的梯度均为0,故人们对其进行了改进,如图15所示。

图15 各类激活函数
在这三种激活函数中,只有Rectified Linear Unit(ReLU)函数解决了梯度消失问题,即其当x<0时梯度均为0,当x>0时梯度均为1,但仍存在一个不可导点,即x=0,这就引出了图16所示的GELU函数。

图16 GELU函数
GELU函数目前大量被使用在大语言模型中,如GPT-3、BERT以及其他基于Transformer开发的大语言模型中。需要指出的是,以上提到的激活函数都是被应用于MLP的隐藏层中。
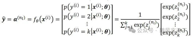
Softmax函数
在激活函数部分中,提到的激活函数均是使用在隐藏层中的。而针对输出层的激活函数,人们通常使用Softmax函数来完成。

图17 Softmax函数简介
可以看到,图17中红框所示即为Softmax函数的表达式,其将属于实数集R的z映射为属于[0,1]的概率分布y。其两个特点分别是:(1)赢者通吃;(2)数值最大者决定最终的输出值。但是在实际使用中,容易出现数值溢出的情况(numerical overflow),于是人们分子分母同时除以一个函数,如图17黄框所示。图18具体解析了Softmax函数表达式,读者可仔细阅读。
目标函数
我们可以看到,在输出层中使用的Softmax函数可以由下式表达:

下面给出MLP常用的交叉熵损失函数(Cross-Entropy Loss)的表达式及其代入Softmax函数后的结果。



03
Softmax逻辑回归

图18 Softmax Regression
从图18我们可以看到,对于输入的一个猫的图像,通过神经网络提取特征后,利用MLP对隶属于每一类的可能性进行打分。可以看到,对隶属于horse(马)的打分为负值,于是我们对其取对数,再进行归一化,就可以得到隶属于每一类的概率。

图19 从统计视角来看Softmax逻辑回归
图19可能需要一定的数学知识,其中probability mass function可表示一个多伯努利分布,且qij代表第i个样本类别是j的概率。应当指出的是,1{yi=j|qij}是一个示性函数,其函数值只取0或1,具体用法读者可自行查阅相关资料。

图20 最大似然估计
最终我们会得到如图20所示的最大似然估计函数,可有效刻画离散问题中随机事件发生的概率。


04
反向传播算法
首先,我们进行一些基本的定义,如图21所示。简而言之,就是用上标表示层号,用下标表示神经元的序号。

图21 BP算法在MLP中实现的基本定义
前向传播

图22 前向传播
由于最初θ是未知的,故可先假设一个θ。前向传播可计算出所有的x、y、z以及a
反向传播

图23 反向传播
反向传播是链式规则的有效实现方式,总体来说,其使用了动态规划算法(dynamic programming)。同时,避免了一些子表达式的重复计算,从而提高了运算效率。BP算法整体上是用空间换时间。
残差的计算
首先,需要特别指出的是,在深度学习中,有两处会涉及到残差,但两处残差的含义完全不同。其中一处为反向传播中的残差,另一处则是残差网络(ICCV 2023,Best Paper)。
对于第l个隐藏层中第i个神经元,可通过下式来计算其残差,即目标函数对其进行求导:

而对于最后的输出层,根据链式法则,我们可以得到:

针对隐藏层,可由图24来完成:

图24 隐藏层的残差计算
在图24的推导过程中,需要指出的是,使用链式法则以及:


最终,可以得到以下推导过程:

接着,我们来计算梯度:

图25 梯度的计算
最后,完成梯度更新:

图26 梯度更新


05
自动求导机制
在反向传播算法中,需要计算诸多梯度,这就容易导致错误的产生。我们先来看一个例子:

图27 BP算法示例(a)

图28 BP算法示例(b)
从图28的a和b两张图片可以看出,手动求导在计算时十分复杂且容易出错。于是,人们便引入了自动求导机制(Automatic Differentiation,AutoDIff)。

图29 自动求导机制示例
在图29中,黑色部分代表前向传播,红色部分代表反向传播。易得,自动求导机制创造了一个计算图,用于计算前向传播和反向传播过程中的梯度。

图30 标准反向传播和自动求导机制的对比
自动求导机制通过引入数据结构中子节点和父节点的知识,建立梯度计算过程中的拓扑结构,从而大大提高了梯度计算的效率和正确率。


06
总结与展望
本期内容详细讲述了MLP(多层感知机)的知识,诚然其已有几十年的历史,但其思想以及对深度学习发展所作出的贡献仍然不可忽视。希望各位读者能够仔细阅读相关知识,也欢迎各位同源动随风在公众号后台交流。
下期将带来卷积神经网络的介绍,敬请期待~

图文编辑:源动随风
图文来源:源动随风
code/s?__biz=Mzg5NTY2Mzk2NQ==&mid=2247485782&idx=1&sn=d2b27db22274fc709704badd020da7f3&chksm=c00da364f77a2a72dca7ebc182f94c9be0ffeddff4ecd41674e229f07e00f4f33b517baedbc6#rd